Производственный план как неотъемлемая часть бизнес-плана. Ч.3
Продолжение, предыдущая часть
Процесс планирования проектов
В ходе реализации типичного проекта работа выполняется специальной проектной группой, члены которой назначаются для работы над ним временно. Все они подчиняются менеджеру проекта, который координирует их работу в сотрудничестве с другими отделами и подразделениями. Однако, поскольку любой проект представляет собой временное мероприятие, проектная группа существует только до того времени, пока не выполнит стоящие перед ней задачи. Затем группу расформировывают, а ее членов перебрасывают на работу над другими проектами, либо они возвращаются в отделы, где работают постоянно, либо уходят из компании.
Процесс планирования любого проекта, в том числе и производственного, включает в себя ряд этапов. Он начинается с четкого определения целей проекта. Данный этап обязателен, поскольку менеджер и члены команды должны четко знать, чего они должны достичь к моменту завершения проекта. Затем необходимо определить все виды работ, которые предстоит выполнить в рамках проекта, и ресурсы, необходимые для этого. Иными словами, на данном этапе необходимо ответить на следующий вопрос: какие затраты труда и материалов потребуются для реализации этого проекта? Данный этап зачастую связан с определенными трудностями и требует немалых затрат времени, особенно если проект принципиально нов или даже уникален, т.е. когда компания не имеет никакого опыта реализации проектов такого типа.
После определения видов работ необходимо определить последовательность их выполнения и взаимосвязи между ними. Что нужно сделать в первую очередь? Какие работы можно выполнять одновременно? В данном случае лицо, планирующее производственный проект, может воспользоваться любым из инструментов производственного планирования, описанных ранее: составить график Ганта, график распределения рабочей нагрузки или сетевую диаграмму PERT.
Затем следует составить график реализации проекта. Первым делом предварительно оценивается срок выполнения каждой работы, а на базе этой оценки составляется общий график проекта и определятся точная дата его окончания. После этого график проекта сравнивают с установленными ранее целями и вносят необходимые изменения и корректировки. Если оказывается, что срок реализации проекта слишком большой — что не соответствует целям компании относительно данного проекта, — менеджер может выделить дополнительные ресурсы на наиболее важные виды работ, чтобы ускорить время реализации всего проекта.
С появлением множества всевозможных компьютерных программ, работающих по Интернету, процедура планирования и управления производственными проектами значительно упростилась. Следует также отметить, что зачастую в этой деятельности принимают активное участие поставщики фирмы и даже ее потребители.
Планирование по сценариям
Сценарий — это прогноз вероятного будущего развития событий, который характеризуется определенной последовательностью этих событий. В данном случае оценивается, как то или иное развитие событий скажется на среде, в которой действует компания, на самой фирме, на действиях ее конкурентов и т.д. Различные предположения способны привести к различным выводам. Цель подобного анализа заключается не в том, чтобы попытаться предсказать будущее, а в том, чтобы максимально прояснить ситуацию и сделать ее как можно определеннее, «проиграв» возможные варианты развития событий с учетом разных исходных условий. Даже сам по себе процесс составления сценариев заставляет руководителей компании переосмыслить и лучше понять суть бизнес-среды, поскольку в ходе этой деятельности они рассматривают ее с такой точки зрения, с которой, возможно, никогда не стали бы.
Несмотря на то что планирование по сценариям представляет собой весьма полезный способ предсказать будущие события (которые возможно предсказать в принципе), понятно, что спрогнозировать случайные, произвольные события очень трудно. Например, вряд ли кто-то мог предсказать столь стремительное распространение и невероятную популярность Интернета в последние десятилетия. Подобные события, несомненно, будут происходить и в дальнейшем. И хотя предсказать их и правильно на них отреагировать чрезвычайно трудно, менеджерам необходимо стремиться к тому, чтобы хоть как-то защитить свои организации от их последствий. Этой цели и служит планирование по сценариям, в том числе в производственной сфере.
Контроль над производством
Важным элементом производственного плана в рамках любого бизнес-плана является описание того, как фирма намерена осуществлять контроль над своей производственной системой, в частности, над такими ее элементами, как затраты, закупки, техническое обслуживание и качество.
Контроль над затратами
Считается, что американские менеджеры нередко относятся к контролю над затратами как некоему корпоративному «крестовому походу», который время от времени предпринимается и проводится под предводительством бухгалтерии фирмы. Именно бухгалтеры устанавливают нормы затрат на единицу продукции, и любому отклонению менеджеры должны найти объяснение. Материальные затраты компании выросли? Может, недостаточно эффективно используется рабочая сила? Возможно, чтобы сократить объем брака и отходов, необходимо повысить квалификацию рабочих? Однако сейчас большинство специалистов убеждены, что контроль над затратами должен играть основную роль уже на этапе разработки и планирования производственной системы организации и что этой деятельностью должны постоянно заниматься все без исключения менеджеры фирмы.
В настоящее время многие организации активно используют подход к контролю над затратами, основанный на так называемых центрах затрат. Это центры ответственности, для которых ведется обособленный учет затрат, но которые напрямую не связаны с получением прибыли; эффективность деятельности таких подразделений определяется исходя из соответствия фактических затрат запланированному или нормативному объему.
Поскольку все затраты должны контролироваться на определенном организационном уровне, компании необходимо четко определить, на каком уровне контролируются те или иные затраты, и требовать отчета менеджеров компании по тем затратам, которые входят в сферу их компетенции.
Контроль над закупками
Чтобы эффективно и результативно производить те или иные товары и предоставлять услуги, компания должна быть постоянно обеспечена всеми необходимыми ресурсами, в том числе материалами. Ей необходимо постоянно следить за дисциплиной поставок, отслеживать характеристики товаров, их качество, количество, а также цены, предлагаемые поставщиками. Эффективный контроль над закупками не только позволяет гарантировать наличие всех необходимых фирме ресурсов в нужном объеме, но их надлежащее качество, а также надежные продолжительные и взаимовыгодные отношения с поставщиками. Все эти моменты должны быть отражены в производственном разделе бизнес-плана.
Что же может сделать компания, чтобы упростить и повысить эффективность контроля над вводимыми ресурсами? Во-первых, собрать максимально полную и точную информацию о датах и условиях поставок. Во-вторых, собрать данные о качестве поставок и о том, насколько они соответствуют производственным процессам компании. И, в-третьих, получить данные о ценах поставщиков, в частности, о соответствии фактических цен ценам, которые были указаны ими при размещении заказа.
Вся эта информация используется для составления рейтингов и выявления ненадежных поставщиков, что позволяет фирме выбирать лучших партнеров в будущем и отслеживать различные тенденции. Так, поставщиков можно оценивать, например, по скорости их реакции на изменение спроса, по качеству обслуживания, уровню надежности и конкурентоспособности. Более подробно об отношениях с поставщиками мы поговорим в следующем разделе.
Контроль над поставщиками
Современные производители стремятся сформировать с поставщиками прочные партнерские взаимоотношения. Вместо того чтобы иметь дело с десятками продавцов, которые непременно будут конкурировать друг с другом за заказчика, фирмыпроизводители сегодня нередко выбирают двух-трех поставщиков и налаживают с ними тесные взаимоотношения, повышая в итоге как качество поставляемых продуктов, так и эффективность этого сотрудничества.
Некоторые фирмы направляют своих инженеров-проектировщиков и других специалистов к своим поставщикам, чтобы решать всевозможные технические проблемы; другие регулярно направляют на предприятия поставщиков группы инспекторов, которые оценивают различные аспекты их деятельности, в том числе методы поставок, особенности производственного процесса, способы статистического контроля, которые применяются поставщиками для выявления дефектов и их причин, и т.д. Иными словами, сегодня компании всех стран делают то, что традиционно всегда делали в Японии — они стремятся наладить долгосрочные взаимоотношения со своими поставщиками. Поставщики, ставшие партнерами компании-производителя, способны обеспечить более высокое качество ресурсов и снизить процент брака и уровень затрат. Если же возникают какие-либо проблемы с поставщиками, открытые и прямые каналы связи позволяют решать их быстро и эффективно.
Контроль над товарно-материальными запасами
Чтобы эффективно и результативно добиваться поставленных целей, любая компания должна контролировать пополнение своих товарно-материальных запасов. Для этого применяется система повторного заказа по достижении определенного уровня запаса.
Система перезаказа данного типа используется для минимизации текущих издержек, связанных с хранением запасов, и обеспечения надлежащего уровня обслуживания потребителей (поскольку благодаря ей снижается вероятность того, что в определенный момент нужного товара не окажется на складе).
Используя различные статистические процедуры, компании, как правило, устанавливают точку перезаказа на уровне, который гарантирует наличие такого количества товарно-материальных запасов, которого будет достаточно, чтобы продержаться в период между размещением повторного заказа и его выполнением. При этом они обычно сохраняют некоторый дополнительный «подстраховочный» запас, который позволяет избежать полного исчерпания запаса в непредвиденных обстоятельствах. Этот так называемый «буфер», или резерв, служит компании надежной защитой, если в период между повторным заказом и его выполнением возникает большая, чем обычно, потребность в товаре или материале, либо если пополнение запаса задержится по непредвиденным причинам.
Один из самых простых, но очень эффективных способов использования системы перезаказа по достижении определенного уровня запасов состоит в том, чтобы хранить отслеживаемые запасы в двух разных контейнерах. При этом товары или материалы берут из одного контейнера до тех пор, пока он не опустеет. В этот момент делают перезаказ, и до его выполнения изделия берут из второго контейнера. Если компания правильно определила спрос, то перезаказанный товар поступит раньше, чем опустеет второй контейнер, и задержки не произойдет.
Второй современный и уже весьма распространенный способ перезаказа по достижении определенного уровня запаса основан на компьютерном контроле. В данном случае все продажи автоматически регистрируются центральным компьютером, который запрограммирован на то, чтобы инициировать процедуру нового заказа, когда запас на складе достигает определенного критического уровня. В настоящее время такими системами активно пользуются многие розничные магазины. Еще одна довольно распространенная система — система перезаказа через определенный интервал времени. В данном случае контроль над запасами осуществляется исключительно на основе четко определенного временного фактора.
Контроль над техническим обслуживанием
В производственном разделе бизнес-плана необходимо также указать, как фирма будет контролировать эффективность технического обслуживания. Для того чтобы быстро и результативно обеспечивать потребителей товарами или услугами, компания должна создать производственную систему, гарантирующую максимально эффективное использование оборудования и его минимальные простои. Поэтому менеджеры, кроме всего прочего, должны постоянно контролировать качество технического обслуживания. Значимость и важность этой деятельности в большой мере зависит от используемых компанией производственных технологий. Так, например, даже незначительный сбой стандартного сборочного конвейера может остановить работу сотен рабочих.
Различают три основных вида технического обслуживания в производственных организациях. Профилактический ремонт проводится до аварии. Восстановительный ремонт требует полной или частичной замены механизма или его ремонта на месте непосредственно после поломки. Условный ремонт — это капитальный ремонт или замена деталей по результатам ранее проведенного технического осмотра.
Следует отметить, что потребность в контроле над техническим обслуживанием должна учитываться уже на этапе проектирования оборудования. Так, если сбой или простой оборудования приводит к серьезным проблемам производственной системы или слишком дорого обходится компании, то она может повысить надежность механизмов, станков и прочего инструментария, заложив в проект оборудования дополнительные характеристики. В компьютерные системы, например, с этой целью часто вводятся дублирующие, резервные подсистемы. Кроме того, оборудование может быть изначально сконструировано таким образом, чтобы упростить и сделать дешевле его последующее техническое обслуживание. Следует учитывать, что чем меньше компонентов входит в оборудование, тем реже возникают поломки и неисправности. Кроме того, детали, которые часто выходят из строя, целесообразно разместить в легкодоступном месте или даже смонтировать в отдельные узлы, которые при поломке можно будет быстро извлечь и заменить.
Контроль качества
Контроль качества — это комплексная программа, ориентированная на потребителя и нацеленная на неуклонное повышение качества производственных процессов компании и производимых ею товаров или предоставляемых услуг. В производственном разделе бизнес-плана следует указать, как фирма будет осуществлять контроль качества.
Эта деятельность предусматривает постоянное отслеживание качества продуктов, чтобы они неизменно соответствовали установленному стандарту. Контроль качества необходимо выполнять несколько раз, начиная с первоначального поступления вводимых ресурсов в производственную систему фирмы. И эта деятельность должна продолжаться в течение всего производственного процесса и заканчиваться контролем готовых товаров или услуг на выходе из производственной системы. Данная процедура предусматривает также оценку качества на промежуточных стадиях процесса преобразования; понятно, что чем раньше вы выявите брак, или неэффективный, или лишний элемент производственного процесса, тем меньше будут ваши затраты на исправление ситуации.
Прежде чем осуществлять контроль качества, менеджеры должны задаться вопросом, надо ли проверять 100% произведенных товаров (или услуг) или можно обойтись выборками. Первый вариант проверки целесообразен, если стоимость постоянной оценки очень низка либо если последствия статистической ошибки чрезвычайно серьезны (например, если фирма производит сложное медицинское оборудование). Статистические выборки обходятся дешевле, и иногда это единственный вариант контроля качества, оправданный с экономической точки зрения.
Существуют две категории статистических процедур контроля качества — выборочный контроль при приемке и контроль производственного процесса.
Выборочный контроль при приемке заключается в оценке закупленных или изготовленных фирмой материалов или товаров; это одна из форм упреждающего контроля или контроля на основе обратной связи. В данном случае делается определенная выборка, после чего решение относительно того, принять или забраковать всю партию, принимается по результатам анализа этой выборки, исходя из оценки риска.
Контроль производственного процесса — это процедура, при которой выборка проводится в процессе преобразования вводимых ресурсов в товары либо услуги, благодаря чему определяется, не вышел ли из-под контроля сам производственный процесс. При данном типе контроля часто используются статистические тесты, с помощью которых на разных этапах производственного процесса определяется, насколько отклонения вышли за пределы приемлемого уровня качества. Поскольку никакой производственный процесс не может считаться совершенным и некоторые незначительные отклонения просто неизбежны, такие тесты позволяют компании вовремя выявить серьезные проблемы, т.е. проблемы с качеством, на которые компании следует реагировать незамедлительно.
Инструменты производственного контроля
Очевидно, что успех любой организации в значительной мере обусловлен ее способностью результативно и эффективно производить товары или предоставлять услуги. Оценить эту способность можно при помощи целого ряда методов производственного контроля.
Производственный контроль, как правило, заключается в наблюдении за производственной деятельностью организации или отдельного подразделения с целью обеспечения ее соответствия ранее составленному графику. Производственный контроль используется для определения способности поставщиков обеспечить соответствующее качество и количество поставок с наименьшими затратами, а также для отслеживания качества выпускаемых продуктов с целью обеспечения их соответствия установленным стандартам и проверки состояния производственного оборудования. Мы уже обсудили основные аспекты контроля над производственными операциями, но два важнейших инструмента производственного контроля — контрольный график TQM и модель экономичного размера заказа — заслуживают более пристального внимания.
Контрольные графики TQM
Следует помнить, что эффективный контроль качества, о котором мы говорили выше, направлен не только на выпуск качественных товаров или предоставление качественных услуг. Чтобы обеспечить высокое качество как самих продуктов, так и процессов, с помощью которых они выпускаются, компания должны контролировать все аспекты своей производственной системы. Современные фирмы выполняют эту задачу благодаря инструменту, известному под названием контрольный график TQM.
Контрольный график TQM — это эффективный инструмент производственного контроля. По сути он представляет собой график, в котором указываются определенные статистическим способом верхний и нижний контрольные пределы и отображаются результаты измерений за отчетный период. Контрольные графики наглядно показывают, не вышел ли производственный процесс за рамки заранее установленных для него контрольных пределов. До тех пор пока результаты проверок на разных этапах производственного процесса находятся в пределах определенного допустимого диапазона, считается, что система находится под контролем (рис. 3). Если результаты измерений выходят за установленные пределы, то отклонения считаются недопустимыми. Постоянные мероприятия, направленные на улучшение качества, должны со временем привести к сужению диапазона между верхним и нижним контрольными пределами, так как в их процессе устраняются наиболее частые причины отклонений.

Рис. 3. Пример контрольного графика
При составлении такого графика необходимо прежде всего учитывать, что в каждом производственном процессе могут существовать два источника отклонений. Первый из них — это непредсказуемость, вследствие которой могут возникать соответствующие отклонения. Такие отклонения возможны в любом процессе, и контролировать их без фундаментальных изменений самого процесса невозможно. Другой источник — это неслучайные обстоятельства. Подобные отклонения можно выявить, и они подлежат контролю. Понятно, что контрольные графики применяются для выявления именно таких причин отклонений.
Контрольные графики составляются с учетом некоторых базовых статистических концепций, в том числе всем известного закона нормального распределения (он гласит, что отклонения, как правило, распределяются по форме колоколообразной кривой), и среднеквадратического отклонения (мера изменчивости в группе числовых данных). При составлении контрольного графика верхний и нижний пределы обусловлены степенью отклонения, которая считается допустимой. По закону нормального распределения около 68% набора значений находятся в диапазоне от +1 до -1 от показателя среднеквадратического отклонения. (По мере увеличения размера выборки выборочное распределение все больше приближается к нормальному.) При этом 95% значений лежат в диапазоне от +2 до -2 от показателя среднеквадратического отклонения. В процессе контроля производственных операций пределы обычно устанавливаются в диапазоне трех среднеквадратических отклонений; это значит, что 97,5% значений должны лежать в пределах контрольного диапазона (рис. 4).

Рис. 4. Пример контрольного графика с контрольным диапазоном в три среднеквадратических отклонения
Если среднее значение по выборке выходит за пределы контрольного диапазона, т.е. находится выше его верхнего предела либо ниже нижнего, это означает, что производственный процесс, по всей видимости, вышел из-под контроля и компании необходимо сделать все возможное, чтобы выявить причины возникшей проблемы.
Модель EOQ
Мы уже говорили, что контроль над товарно-материальными запасами фирмы — важнейший аспект производственного контроля. Инвестиции фирм в эти запасы, как правило, значительны; поэтому каждая организация стремится как можно точнее определить, в каком объеме заказывать новые товары и материалы и как часто это следует делать. В этом им помогает так называемая модель EOQ.
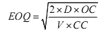
Модель оптимального (экономичного) размера заказа (economic order quantity — EOQ) предназначена для определения количества товаров, которое следует заказывать, чтобы удовлетворить прогнозируемый спрос и минимизировать затраты на хранение и приобретение товарно-материальных запасов.
С помощью модели EOQ минимизируются два вида затрат — на выполнение заказа и текущие издержки. По мере роста объема заказов увеличивается среднее количество товарно-материальных запасов, соответственно растут и текущие издержки на их содержание. Однако размещение больших заказов означает меньшее их количество и, следовательно, сокращение затрат на их выполнение. Наименьшие суммарные расходы и соответственно наиболее экономичный размер заказа наблюдаются в нижней точке кривой суммарных расходов. Эту точку, в которой затраты на выполнение заказа и текущие издержки равны, называют точкой наиболее экономичного размера заказов. Для вычисления этого показателя нужны следующие данные: прогнозируемая потребность в запасах на определенный будущий период (D); затраты на размещение одного заказа (ОС); затраты или цена приобретения (V) и текущие издержки, связанные с хранением и обработкой всего объема товарных запасов, в процентах (CC). Имея все эти данные, можно воспользоваться стандартной формулой EOQ:
Следует, однако, помнить, что использование модели EOQ предусматривает, что потребность и срок реализации заказа точно известны и постоянны. В противном случае ее использовать не следует. Так, например, она вообще неприменима для определения объемов заказа деталей, применяемых в производственном процессе, поскольку они, как правило, поступают со склада крупными и неравномерными партиями. Но значит ли это, что модель EOQ бесполезна для производственных фирм? Вовсе нет. Ее вполне можно применять для определения оптимального размера затрат и выявления необходимости изменить размер партии заказа. Хотя, следует признать, что для определения размеров партий в условиях непостоянных потребностей и в прочих нестандартных ситуациях используются более сложные модели.
Современные аспекты производства
При подготовке производственного раздела бизнес-плана важно помнить о современных реалиях производственной сферы. Сегодня компаниям приходится решать множество сложнейших задач, связанных с повышением производительности. Они должны стремиться к тому, чтобы максимально использовать преимущества новых технологий, внедрять описанную концепцию TQM; сертифицировать свои продукты путем получения сертификата ISO 9000; постоянно сокращать товарноматериальные запасы; налаживать партнерские взаимоотношения с поставщиками; добиваться конкурентного преимущества благодаря гибкости и быстрой реакции на изменения спроса и т.д. Поэтому фирме следует отразить в своем бизнес-плане, как будут выполняться все эти задачи.
Технологии
Постоянно усиливающаяся конкуренция на большинстве рынков сбыта вынуждает производителей поставлять потребителям все более высококачественные продукты по все более низкой цене, значительно сокращая при этом время их вывода на рынок. Ускорению процесса разработки новых видов продуктов способствуют два фактора: нацеленность фирмы на сокращение цикла разработки и эффективность инвестиций в новые технологии.
Одним из наиболее эффективных инструментов, с помощью которых современные производители сокращают время вывода новых товаров и услуг на рынок, является комплексная автоматизация производства (Computer Integrated Manufacturing — CIM). CIM — это результат объединения стратегического бизнес-плана и производственного плана компании с компьютерным программным обеспечением. В ее основе лежат технологии автоматизированного проектирования (Computer-Aided Design — CAD) и автоматизированного производства (Computer-Aided Manufacturing — САМ). В результате появления и широкого распространения всевозможных средств автоматизации прежний способ разработки продуктов безнадежно устарел. С помощью компьютерной техники, позволяющей визуально отображать графические объекты, инженеры-конструкторы проектируют новые изделия намного быстрее и эффективнее, чем раньше. Автоматизированное производство стало возможным благодаря использованию компьютеров в ходе управления производственным процессом. Так, станки с числовым управлением можно запрограммировать на выпуск новых моделей буквально в считанные секунды.
По мнению специалистов, дальнейшее совершенствование технологии CIM позволит обеспечить непрерывность всего производственного цикла. Если каждый этап — от размещения заказа на сырье до отгрузки готовой продукции — будет отображаться в виде числовых показателей и обрабатываться на компьютере, компании получат возможность очень быстро реагировать на любые изменения рынка. Они смогут вносить сотни изменений в проект в считанные часы, быстро переходить на выпуск самых различных вариаций продуктов и изготавливать их очень небольшими партиями. Организации, в которой применяется комплексная автоматизация производства, не придется останавливать сборочную линию и тратить драгоценное время на замену прессовочных штампов или другого оборудования для выпуска нового стандартного либо нестандартного изделия. Одно изменение в программе компьютера, на которое уйдет несколько секунд, — и производственный процесс полностью перестроен.
Важнейшим условием эффективной работы современных компаний является постоянное обновление технологии, с помощью которой вводимый поток сырьевых материалов превращается в поток готовых продуктов. Основные технологические изменения обычно предполагают автоматизацию производства, о которой мы говорили выше, а также внедрение нового оборудования, инструментов или рабочих методик и компьютеризацию.
Однако, судя по всему, самым значительным технологическим изменением в последние годы стала всеобщая компьютеризация. В большинстве организаций сегодня разработаны сложнейшие информационные системы. Например, во многих розничных сетях применяются подключенные к компьютерам сканеры, с помощью которых можно мгновенно получить полную информацию об интересующем вас товаре (его цену, код и т.д.). И конечно, в наши дни вы не найдете ни одного офиса, в котором не использовалась бы компьютерная техника.
Внедрение TQM
В настоящее время философию TQM внедрили у себя уже очень многие компании. Идеей всеобщего управления качеством охвачены не только крупные, но и мелкие фирмы и предприятия. TQM (total quality management) — это концепция, подразумевающая участие всех работников фирмы в повышении качества продуктов и услуг, оптимизации производственных процессов и управления и т.д.
К сожалению, надо признать, что успешными были не все усилия, направленные на реализацию концепций TQM. Проведенные в этой области исследования не подтверждают, что фирмы, внедрившие TQM, неизменно работают с более высокими показателями эффективности, чем компании, которые этого не сделали. Существует целый ряд факторов, способных в значительной мере снижать эффективность TQM. В частности, исследователи обнаружили, что успех применения некоторых основных концепций TQM — например, использование команд, эталонное тестирование, дополнительное обучение и расширение полномочий служащих — в значительной мере зависит от текущей производительности компании.
Если говорить о технологическом аспекте, то в ходе реализации концепции TQM главное внимание уделяется разработке гибких процессов, которые призваны обеспечить поддержку непрерывному повышению качества. Дело в том, что работники, принявшие философию TQM, постоянно ищут, что можно улучшить или исправить, поэтому рабочие процессы должны легко приспосабливаться к постоянным изменениям. В связи с этим для успешной реализации программы TQM компания должна постоянно повышать квалификацию своего персонала. Ей необходимо обеспечить своих работников возможностью приобретать и развивать навыки в таких областях, как решение проблем, принятие решений, ведение переговоров, проведение статистического анализа и командная работа. Работники этих компаний должны уметь анализировать и интерпретировать данные, а фирмам следует снабжать свои рабочие команды всей необходимой информацией о качестве выпускаемых продуктов, в частности, о нормах повреждений, брака, отходов и т.д. Они также должны информировать персонал о мнении потребителей, предоставлять им сведения, необходимые для составления контрольных графиков и работы с ними. И конечно же, структура организации должна обеспечивать рабочие команды достаточными полномочиями, необходимыми для постоянного улучшения производственных операций.
Реинжиниринг
Реинжиниринг — термин для обозначения радикальных изменений всех или части рабочих процессов компании с целью повышения производительности и улучшения финансовых показателей. В процессе реинжиниринга структура, технологии и персонал компании претерпевают серьезные изменения, поскольку в данном случае методы выполнения работы в организации пересматриваются практически с нуля. В ходе реинжиниринга менеджеры постоянно задают вопросы: «Как еще можно улучшить данный процесс?» или «Каким способом можно выполнять данное рабочее задание быстрее и качественнее?» и т.д.
Независимо от того, чем вызвана необходимость изменений — колебаниями спроса, изменением экономической ситуации или сменой стратегического курса организации, — особа, которая решила провести реинжиниринг, должна в первую очередь оценить эффективность работы персонала и качество взаимодействия людей внутри организации. После критической оценки рабочих процессов компания приступает к поиску способов, позволяющих повысить производительность труда и качество выпускаемой продукции: начать реализовывать программу TQM, изменять организационную культуру или внедрять другие изменения. Однако в любом случае суть реинжиниринга заключается в том, что компания полностью отказывается от старых способов работы и принимает решение радикально изменить свой рабочий процесс.
У вас может возникнуть вопрос: не является ли термин «реинжиниринг» синонимом TQM? Ни в коем случае! Хотя оба этих процесса направлены на внедрение изменений в организации, цели и средства у них совершенно разные. Программа TQM основана на идее непрерывных, постепенных изменений. Это означает постоянное улучшение работы организации, дела которой в целом идут нормально. Кроме того, TQM реализуется «снизу вверх», и основной упор делается на участии работников в принятии решений относительно планирования и реализации этой программы. А реинжиниринг — это радикальное изменение способов работы организации. Этот процесс предусматривает коренные изменения и полную перестройку рабочих методик. Мероприятия по реинжинирингу инициируются высшим руководством фирмы, но когда этот процесс завершается, практически все сотрудники обычно получают более широкие полномочия на своих рабочих местах.
Характерной особенностью реинжиниринга является то, что приходится начинать с нуля и заново обдумывать и перестраивать всю схему работы, т.е. структуру всех рабочих процессов. Традиционные, известные пути и способы сразу исключаются. Иными словами, компания полностью отказывается от постепенных преобразований в производственной системе, поскольку способы и методы, с помощью которых компания будет производить товары или предоставлять услуги, радикально изменяются. Изобретаются и внедряются совершенно новые рабочие процессы и операции. При реинжиниринге то, что было раньше, ни в коем случае не должно служить даже отправной точкой, ведь реинжиниринг — радикальное, коренное изменение самих основ организации. Несмотря на значительные стрессы и усиление неуверенности персонала, которые, как правило, сопровождают процесс реинжиниринга, он способен дать отличные результаты.
Стандарты ISO
Чтобы открыто и явно продемонстрировать свое стремление к повышению качества, современные организации стараются пройти сертификацию ISO. В чем ее суть? Это стандарты управления качеством, на которые ориентируются компании во всем мире. Они охватывают буквально все вопросы: от правил составления контракта до разработки продуктов и их поставок. Стандарты ISO устанавливаются Международной организацией по стандартизации и используются как международный оценочный критерий для сравнения фирм, работающих на глобальном рынке. Наличие у компании сертификата свидетельствует о том, что в ней разработана и внедрена эффективная система управления качеством.
Сертификаты качества сегодня получают небольшие сбытовые и консалтинговые компании, фирмы-разработчики программного обеспечения, городские предприятия коммунального обслуживания и даже некоторые финансовые и общеобразовательные институты.
Однако следует помнить, что, хотя сертификат и обеспечивает фирму массой преимуществ и значительно укрепляет ее конкурентные позиции, главной целью компании должен быть сам процесс повышения качества ее товаров или услуг. Иными словами, получение сертификата не должно быть самоцелью; стремясь к этому, компания должна создать рабочие процессы и производственную систему, которые позволят всем ее работникам выполнять свою работу с неизменно высоким качеством.
Сокращение товарно-материальных запасов
Как мы уже говорили, весьма значительную часть активов большинства компаний составляют ее товарно-материальные запасы. Фирмы, которым удается существенно сократить уровень своих запасов, — т.е. сырья, полуфабрикатов и готовых товаров на складе, — могут значительно снизить затраты на их хранение и таким образом повысить свою производительность. То, как фирма намерена решать эту задачу, также следует отразить в производственном разделе бизнес-плана.
Современные компании относятся к этой проблеме очень серьезно. В последние годы менеджеры всех стран активно ищут способы повышения эффективности управления товарно-материальными запасами. Так, на этапе поступления вводимых ресурсов они стремятся улучшить информативную связь между внутренними производственными графиками и прогнозируемым потребительским спросом. От менеджеров по маркетингу все чаще требуют точной и оперативной информации о будущих объемах продаж, которую затем объединяют с конкретными данными о производственных системах компании и в результате определяют оптимальный объем производства, способный удовлетворить существующий спрос. Для выполнения этой функции как нельзя лучше подходят системы планирования производственных ресурсов.
Сегодня компании всего мира активно экспериментируют с другой методикой, которая уже долгое время с успехом применяется в Японии и носит название система «точно в срок» (Just-In-Time — JIT). Согласно этой системе, товары и материалы поступают к производителю точно в тот момент, когда в них возникает необходимость в производственном процессе, а не хранятся на складе. Конечная цель внедрения системы JIT — полностью избавиться от складов сырья благодаря точнейшей координации производственного процесса и процесса поставки. Если такая система работает эффективно, это обеспечивает производителю немалые преимущества: снижаются его материальные запасы, сокращается время наладки оборудования, ускоряется цикл прохождения изделием процессов преобразования, сокращается время производства, высвобождаются производственные площади и зачастую даже повышается качество выпускаемой продукции. Конечно, для того чтобы добиться всего этого, необходимо найти поставщиков, которые будут вовремя поставлять качественные материалы.
Следует, однако, учитывать, что систему JIT может использовать не каждый производитель. Так, для ее внедрения необходимо, чтобы поставщики были расположены близко к предприятиям покупателя и поставляли материалы без дефектов. Эта система требует также надежных транспортных связей между поставщиками и производителем, эффективных методов приемки, обработки и распределения материалов, тщательного планирования производственного процесса. Если же все эти условия выполнены, JIT поможет значительно сократить складские издержки фирмы.
Аутсорсинг и другие виды партнерства с поставщиками
В разделе бизнес-плана, посвященном производству, необходимо также указать, как компания намерена работать с поставщиками и повышать эффективность этого процесса. Как уже говорилось, одним из самых основных направлений в производственной сфере в последнее время стала устойчивая тенденция к формированию партнерских отношений между производителями и поставщиками. Следует отметить, что, кроме всего прочего, это зачастую предусматривает передачу части работ, когда изготовители, стремясь снизить высокие трудозатраты, передают процесс производства некоторых деталей и комплектующих своим поставщикам, которые могут изготовить их с меньшими затратами. Эти отношения получили название аутсорсинга.
Сегодня альянсы производителей и поставщиков стали намного теснее и прочнее. Поставщики все больше вовлекаются в производственный процесс изготовителя продукции. Многие операции, которые раньше входили исключительно в компетенцию производителей, теперь выполняются их основными поставщиками, т.е. происходит передача части работ сторонним исполнителям. При этом производители все чаще играют роль «дирижеров» и ограничиваются тем, что только координируют деятельность разных поставщиков. По мнению специалистов, тенденция к прочному и тесному партнерству поставщиков и производителей в будущем сохранится, поскольку последние постоянно ищут все новые источники конкурентного преимущества на глобальном рынке, и один из таких источников — тесные взаимоотношения с поставщиками.
Гибкость как конкурентное преимущество
В современном стремительно меняющемся мире бизнеса компании, не способные быстро приспосабливаться к переменам, обречены на неудачу. Поскольку данная способность обеспечивается гибкостью производственного процесса, многие организации активно разрабатывают и внедряют гибкие производственные системы.
Современные фабрики и заводы нередко напоминают кадры из научнофантастического фильма, в котором дистанционно управляемые тележки развозят заготовки по компьютеризованным центрам механической обработки. Роботы автоматически изменяют положение заготовок, а станок, манипулируя сотнями инструментов, превращает заготовку в готовую деталь. Каждые полторы минуты с конвейера сходит законченное изделие, несколько отличное от предыдущих. В цеху нет ни рабочих, ни привычных станков. Никаких дорогостоящих простоев оборудования, необходимых для замены штампов или инструментария. Одна современная машина способна выпускать десятки и даже сотни самых разных деталей, изготавливая их в любом запрограммированном порядке.
Уникальной особенностью гибких производственных систем является объединение процессов автоматизированного проектирования, инженерно-конструкторской разработки и собственно производства, благодаря чему заводы могут производить небольшие, заказные партии по ценам, которые раньше были возможны только при массовом производстве.
В результате использования гибких производственных систем на смену экономии от масштаба приходит экономия от широты ассортимента. Организациям больше не обязательно производить тысячи идентичных продуктов, чтобы снизить свои удельные издержки. Чтобы перейти к выпуску нового изделия, им необходимо менять не станки и оборудование, а всего лишь внести изменения в компьютерную программу.
Скорость как конкурентное преимущество
Известно, что компания, которая способна быстро разрабатывать и выводить на рынок сбыта новые товары и услуги, обеспечивает себя значительным конкурентным преимуществом. Потребители отдают предпочтение той или иной фирме не только потому, что ее продукция или услуги дешевле, имеют оригинальную конструкцию или отличаются высоким качеством, но нередко и потому, что они высоко ценят возможность получить их как можно быстрее. Можно привести множество примеров компаний, достигших значительных успехов в сокращении времени проектирования и производства товаров и услуг. Для ускорения производственного процесса и усиления давления на конкурентов многие организации во всем мире стремятся сократить бюрократические ограничения и упростить свои организационные структуры; они создают комплексные рабочие группы, перестраивают структуру сбыта, используют методы JIT, системы CIM, гибкие производственные системы и т.д. И все это необходимо отобразить в производственном плане, указав, какие возможности ускорения цикла вывода на рынок новых товаров или услуг имеются в вашем распоряжении.